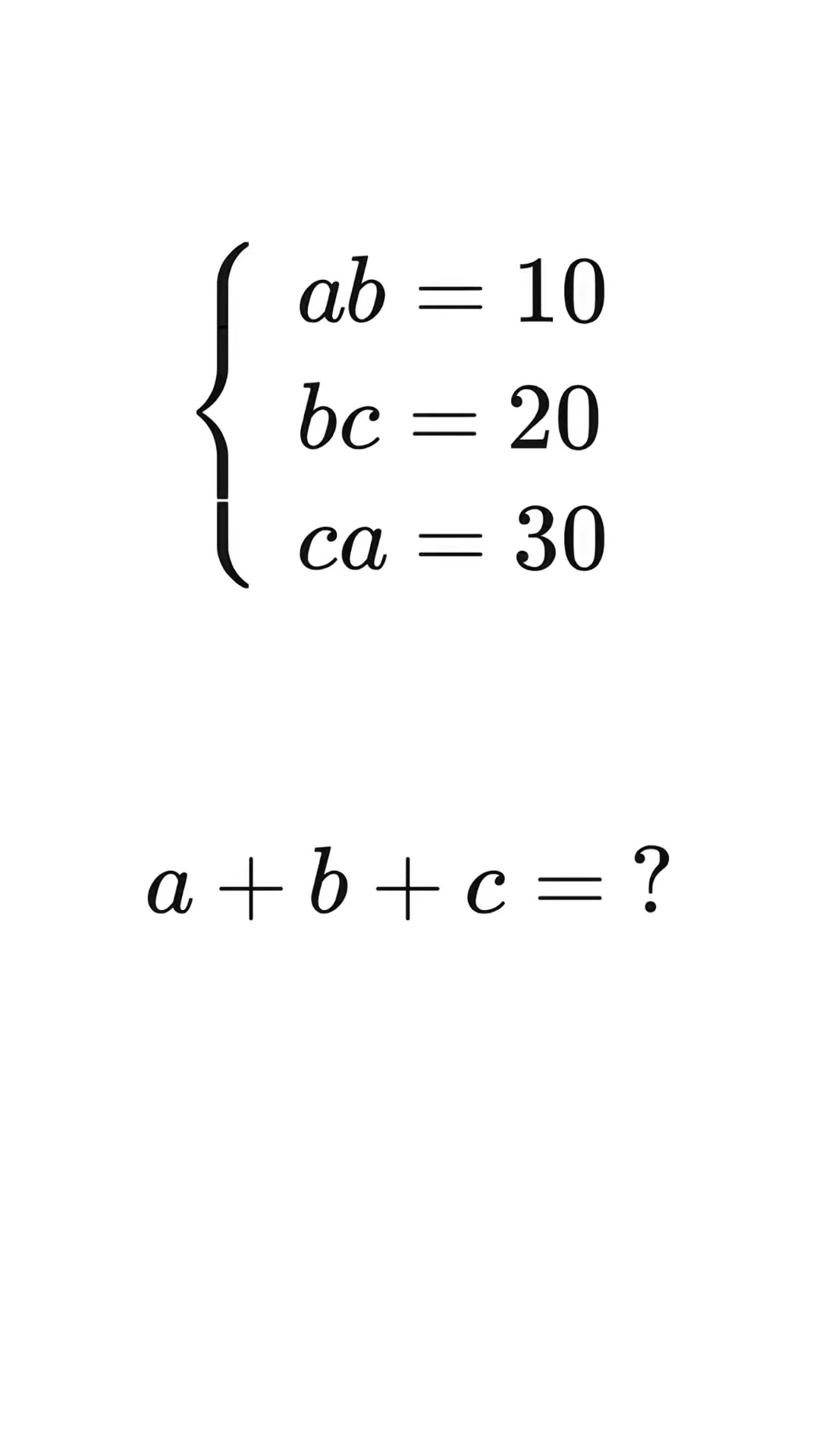
a+b+c=? #数学 #shorts #受験 – YouTube 2026年4月29日 in shadow先生【授業で学ばない数学解説】 Tagged 中学入試, 中学受験, 中学数学, 偏差値, 入試問題, 勉強, 受験, 大学入試, 大学受験, 定期テスト, 教育, 数学, 数学オリンピック, 数学苦手, 暗算, 算数, 速算, 過去問, 過去問解説, 高校受験, 高校数学 - 0 Minutes YouTube でお気に入りの動画や音楽を楽しみ、オリジナルのコンテンツをアップロードして友だちや家族、世界中の人たちと共有しましょう。 Follow me! FacebookXBlueskyHatenaPocketCopy